电化学原理第三版李荻课后习题答案解析

2023年11月30日 22:02
749浏览
电化学原理第三版
电化学原理第三版
主 编: 李荻
ISBN: 9787811244168
出版社: 北京航空航天大学出版社
上传者: ゛Luminaryゝ发光体ん ℡
大家好,我是一名大学生,最近我刚接触了《电化学原理第三版》这本教材。我发现这是一本内容丰富、实用性强的教材,涵盖了电化学原理的各个方面。为了更好地学习和掌握这门课程,我迫切需要一些相关的学习资料和学习方法。
我在网上搜寻了一些关于《电化学原理第三版》的学习资料,包括课件、课后习题解答、实验指导书等。在学习方法上,我觉得应该注重理解基本概念和原理,多做练习题,并尝试用所学的知识去解决实际问题。此外,我还想请教一下有经验的学长学姐们,有没有什么好的学习经验和技巧可以分享?
总之,我希望能够通过自己的努力,学好《电化学原理第三版》这门课程,为今后的学习和工作打下坚实的基础。如果你也有关于这门课程的学习心得和经验,欢迎与我分享和交流。让我们一起努力,共同进步!
详情资料
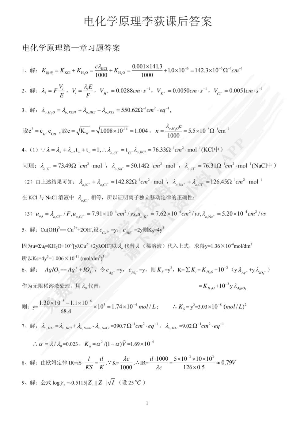
电化学原理第三版
电化学原理第三版
电化学原理第三版
电化学原理第三版
电化学原理第三版
电化学原理第三版
为了给您更好的查看体验,请下载资小料APP免费查看余下资料
更新于 2026年01月29日 17:55
本书资料由用户゛Luminaryゝ发光体ん ℡上传,如有侵权请联系平台客服删除。